参加2021年冬季CAIE大考的同学们好,因为官方目前尚未公布刚刚考完的真题,所以王老师根据刚考完的同学回忆,整理了高数力学的题型以及解题思路。
由于不能确定准确的题目信息,只能大致描述一下考点,题目条件,画草图,列出主要方程,部分常数用变量代替,剩余细节等真题文件公布后再补充。
第1题:考点是抛体
条件是经过时间T,速度方向与初速度方向垂直,利用速度与水平方向的夹角结合水平竖直方向分速度的表达式列方程,注意竖直方向分速度向下,要取绝对值。

第2题:考点是动量与弹性势能
两球碰撞前列动量守恒的方程,碰撞后到弹簧压缩列能量守恒方程,注意由于碰撞有动能损失,不能从碰撞前到弹簧压缩后直接列能量守恒方程。

第3题:考点是水平圆周运动
绳穿过光滑圆环,拉力等于竖直悬挂小球的重力,对水平圆周运动的小球受力分析,把拉力分解在水平方向作为向心力,分解在竖直方向等于重力,用斜拉绳的长度和与竖直方向夹角求出圆周运动半径。

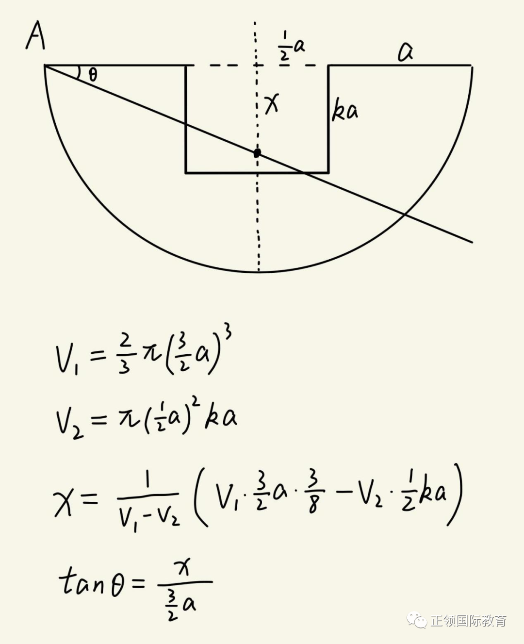
第4题:考点是质心
一个半球底部挖去一个圆柱,在边缘处悬挂,用圆柱体积加负号代入组合体质心公式求出质心到半球底面距离,根据悬挂点与质心连线与半球底面夹角的三角函数列方程。

第5题:考点是斜碰撞
条件很常规,注意球心连线方向速度符号,右边的球是负的。

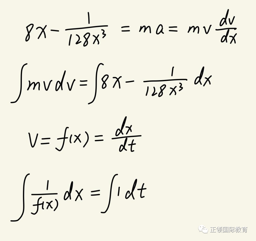
第6题:考点是变加速运动
给出质点运动方向拉力与阻力随位移变化的表达式,先把加速度用速度和位移表示出来,解出位移和速度的微分方程,再把速度用位移和时间表示出来,解出位移和时间的微分方程。

第7题:考点是竖直圆周运动和抛体
绳连接的竖直圆周运动转动到圆心上方某处,绳断开后变成抛体经过圆的最高点,根据绳断开处的角度表示出水平和竖直方向速度,根据断开点与最高点的水平和竖直方向位移列方程。在最低点拉力减重力作为向心力,以及最低点到绳断开点能量守恒列方程。

这就是今天的讲解内容了,希望可以帮到大家!






